Đề thi tham khảo ôn thi THPT Hóa học có đáp án - Đề tham khảo số 1
66 người thi tuần này 4.6 189 lượt thi 28 câu hỏi 45 phút
Bạn cần đăng ký gói VIP ( giá chỉ từ 199K ) để làm bài, xem đáp án và lời giải chi tiết không giới hạn.
🔥 Học sinh cũng đã học
Bộ 3 đề thi giữa kì 2 Hóa 12 Chân trời sáng tạo cấu trúc mới có đáp án - Đề 3
Bộ 3 đề thi giữa kì 2 Hóa 12 Chân trời sáng tạo cấu trúc mới có đáp án - Đề 2
Bộ 3 đề thi giữa kì 2 Hóa 12 Chân trời sáng tạo cấu trúc mới có đáp án - Đề 1
Bộ 3 đề thi giữa kì 2 Hóa 12 Cánh diều cấu trúc mới có đáp án - Đề 3
Bộ 3 đề thi giữa kì 2 Hóa 12 Cánh diều cấu trúc mới có đáp án - Đề 2
Bộ 3 đề thi giữa kì 2 Hóa 12 Cánh diều cấu trúc mới có đáp án - Đề 1
Bộ 3 đề thi giữa kì 2 Hóa 12 Kết nối tri thức cấu trúc mới có đáp án - Đề 3
Bộ 3 đề thi giữa kì 2 Hóa 12 Kết nối tri thức cấu trúc mới có đáp án - Đề 2
Danh sách câu hỏi:
Câu 1
Maltose.
Saccharose.
Fructose.
Tinh bột.
Lời giải
Đáp án đúng là: C
Fructose thuộc loại monosaccharide.
Câu 2
A. methyl acetate.
B. ethyl formate.
C. methyl formate.
Lời giải
Lời giải
Đáp án đúng là: C
Các dây điện cao thế thường được làm bằng nhôm vì:
- Nhôm dẫn điện tốt, nhẹ, làm giảm áp lực lên cột điện, phòng tránh được gãy, đổ cột điện.
- Giá thành của kim loại nhôm rẻ hơn kim loại đồng.
- Kim loại nhôm bền với các tác nhân oxi hóa ngoài môi trường hơn kim loại đồng do có lớp màng oxide bảo vệ.
Câu 4
tơ hóa học.
tơ tổng hợp.
tơ tự nhiên.
tơ bán tổng hợp.
Lời giải
Đáp án đúng là: C
Tơ tằm được lấy từ kén con sâu tằm thuộc loại tơ tự nhiên. Tơ tằm có cấu trúc là các chuỗi protein do sâu tằm tiết ra.
Câu 5
triester của acid hữu cơ và glycerol.
triester của glycerol với acid béo.
ester của acid béo và alcohol đa chức.
hợp chất hữu cơ chứa C, H, N, O.
Lời giải
Đáp án đúng là: B
Chất béo là triester của glycerol với acid béo.
Lời giải
Bạn cần đăng ký gói VIP ( giá chỉ từ 199K ) để làm bài, xem đáp án và lời giải chi tiết không giới hạn.
Câu 7
xuất hiện kết tủa màu tím.
xuất hiện khí không màu.
xuất hiện kết tủa màu xanh.
xuất hiện kết tủa màu trắng.
Lời giải
Bạn cần đăng ký gói VIP ( giá chỉ từ 199K ) để làm bài, xem đáp án và lời giải chi tiết không giới hạn.
Lời giải
Bạn cần đăng ký gói VIP ( giá chỉ từ 199K ) để làm bài, xem đáp án và lời giải chi tiết không giới hạn.
Câu 9
glycerol và ethanol.
saponin trong bồ hòn và bồ kết.
muối sodium hoặc potassium của acid béo (thường là các gốc acid béo no).
muối sodium alkylsulfate, sodium alkylbenzene sulfonate (R-C6H4-SO3Na).
Lời giải
Bạn cần đăng ký gói VIP ( giá chỉ từ 199K ) để làm bài, xem đáp án và lời giải chi tiết không giới hạn.
Câu 10
Sau bước 1 xuất hiện kết tủa màu trắng.
Sau bước 2 kết tủa tan tạo dung dịch màu xanh.
Thí nghiệm trên dùng để phân biệt dipeptide với các peptide còn lại.
Thay lòng trắng trứng bằng dầu thực vật, hiện tượng xảy ra tương tự.
Lời giải
Bạn cần đăng ký gói VIP ( giá chỉ từ 199K ) để làm bài, xem đáp án và lời giải chi tiết không giới hạn.
Lời giải
Bạn cần đăng ký gói VIP ( giá chỉ từ 199K ) để làm bài, xem đáp án và lời giải chi tiết không giới hạn.
Lời giải
Bạn cần đăng ký gói VIP ( giá chỉ từ 199K ) để làm bài, xem đáp án và lời giải chi tiết không giới hạn.
Câu 13
Fe và dung dịch
Fe và dung dịch HCl.
Cu và dung dịch
Ag và dung dịch
Lời giải
Bạn cần đăng ký gói VIP ( giá chỉ từ 199K ) để làm bài, xem đáp án và lời giải chi tiết không giới hạn.
Câu 14
Cs.
Mg.
K.
Fe.
Lời giải
Bạn cần đăng ký gói VIP ( giá chỉ từ 199K ) để làm bài, xem đáp án và lời giải chi tiết không giới hạn.
Câu 15
Tính cứng.
Tính bền.
Tính nhẹ.
Tính ánh kim.
Lời giải
Bạn cần đăng ký gói VIP ( giá chỉ từ 199K ) để làm bài, xem đáp án và lời giải chi tiết không giới hạn.
Lời giải
Bạn cần đăng ký gói VIP ( giá chỉ từ 199K ) để làm bài, xem đáp án và lời giải chi tiết không giới hạn.
Lời giải
Bạn cần đăng ký gói VIP ( giá chỉ từ 199K ) để làm bài, xem đáp án và lời giải chi tiết không giới hạn.
Lời giải
Bạn cần đăng ký gói VIP ( giá chỉ từ 199K ) để làm bài, xem đáp án và lời giải chi tiết không giới hạn.
Câu 19
a). Công thức phân tử của aspirin là C9H10O4.
b). Trong một phân tử aspirin có chứa 5 liên kết \(\pi .\)
c). 1 mol salicylic acid tác dụng tối đa với 2 mol NaOH trong dung dịch.
Lời giải
Bạn cần đăng ký gói VIP ( giá chỉ từ 199K ) để làm bài, xem đáp án và lời giải chi tiết không giới hạn.
Câu 20
a). X có tên là tơ nylon-6.
b). Các loại vải làm từ polymer X có thể giặt trong nước có độ kiềm cao.
c). X được điều chế từ hexamethylenediamine và adipic acid bằng phản ứng trùng ngưng.
Lời giải
Bạn cần đăng ký gói VIP ( giá chỉ từ 199K ) để làm bài, xem đáp án và lời giải chi tiết không giới hạn.
Câu 21
a). Nhiệt lượng toả ra khi phân huỷ 1 mol \({\rm{BaC}}{{\rm{O}}_3}\) lớn hơn nhiệt lượng toả ra khi phân huỷ 1 mol \({\rm{CaC}}{{\rm{O}}_3}.\)
b). \({\rm{BaC}}{{\rm{O}}_3}\) bị phân huỷ ở nhiệt độ thấp hơn \({\rm{CaC}}{{\rm{O}}_3}.\)
c). Khi tăng nhiệt độ, cả hai phản ứng đều dịch chuyển theo chiều thuận.
Lời giải
Bạn cần đăng ký gói VIP ( giá chỉ từ 199K ) để làm bài, xem đáp án và lời giải chi tiết không giới hạn.
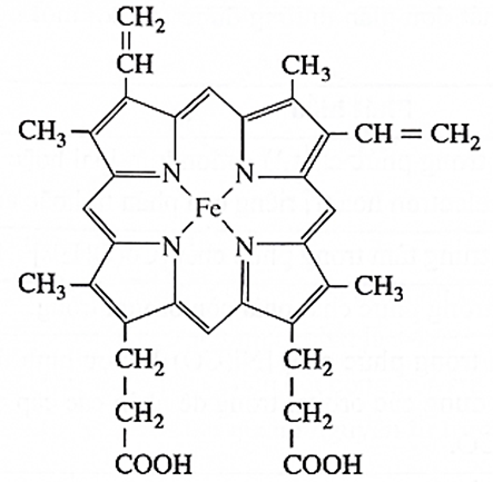
Câu 22
a). Phức chất trên có điện tích bằng 0.
b). Nguyên tử trung tâm trong hemoglobin là kim loại chuyển tiếp.
c). Trong phân tử hemoglobin có 4 phối tử.
Lời giải
Bạn cần đăng ký gói VIP ( giá chỉ từ 199K ) để làm bài, xem đáp án và lời giải chi tiết không giới hạn.
Lời giải
Bạn cần đăng ký gói VIP ( giá chỉ từ 199K ) để làm bài, xem đáp án và lời giải chi tiết không giới hạn.
Lời giải
Bạn cần đăng ký gói VIP ( giá chỉ từ 199K ) để làm bài, xem đáp án và lời giải chi tiết không giới hạn.
Câu 25
Trong công nghiệp, dolomite là nguyên liệu sản xuất magnesium oxide (MgO, thành phần chính của gạch chịu lửa) theo phản ứng:
CaCO3.MgCO3(s) → CaO(s) + MgO(s) + 2CO2(g)
Cho enthalpy tạo thành chuẩn (kJ/mol) của các chất theo bảng sau:
| Chất | CaCO3.MgCO3(s) | CaO(s) | MgO(s) | CO2(g) |
|
(kJ/mol) | -2326,3 | -634,9 | -601,6 | -393,5 |
Lời giải
Bạn cần đăng ký gói VIP ( giá chỉ từ 199K ) để làm bài, xem đáp án và lời giải chi tiết không giới hạn.
Lời giải
Bạn cần đăng ký gói VIP ( giá chỉ từ 199K ) để làm bài, xem đáp án và lời giải chi tiết không giới hạn.
Lời giải
Bạn cần đăng ký gói VIP ( giá chỉ từ 199K ) để làm bài, xem đáp án và lời giải chi tiết không giới hạn.
Lời giải
Bạn cần đăng ký gói VIP ( giá chỉ từ 199K ) để làm bài, xem đáp án và lời giải chi tiết không giới hạn.



