159 câu trắc nghiệm Sinh học 12 Kết nối tri thức Bài 4 (Đúng sai - Trả lời ngắn) có đáp án - Phần 3
36 người thi tuần này 4.6 700 lượt thi 30 câu hỏi
Bạn cần đăng ký gói VIP ( giá chỉ từ 199K ) để làm bài, xem đáp án và lời giải chi tiết không giới hạn.
🔥 Học sinh cũng đã học
89 câu trắc nghiệm Sinh học 12 Cánh diều Bài 3 (Đúng sai - Trả lời ngắn) có đáp án - Phần 2
89 câu trắc nghiệm Sinh học 12 Cánh diều Bài 3 (Đúng sai - Trả lời ngắn) có đáp án - Phần 1
254 câu trắc nghiệm Sinh học 12 Cánh diều Bài 1 (Đúng sai - Trả lời ngắn) có đáp án - Phần 7
254 câu trắc nghiệm Sinh học 12 Cánh diều Bài 1 (Đúng sai - Trả lời ngắn) có đáp án - Phần 6
254 câu trắc nghiệm Sinh học 12 Cánh diều Bài 1 (Đúng sai - Trả lời ngắn) có đáp án - Phần 5
254 câu trắc nghiệm Sinh học 12 Cánh diều Bài 1 (Đúng sai - Trả lời ngắn) có đáp án - Phần 4
254 câu trắc nghiệm Sinh học 12 Cánh diều Bài 1 (Đúng sai - Trả lời ngắn) có đáp án - Phần 3
254 câu trắc nghiệm Sinh học 12 Cánh diều Bài 1 (Đúng sai - Trả lời ngắn) có đáp án - Phần 2
Danh sách câu hỏi:
Câu 1
a) Có thể có lợi, có hại hoặc trung tính.
b) Làm biến đổi cấu trúc của gene liên quan tới một cặp hoặc một số cặp nucleotide.
c) Làm nguyên liệu của quá trình chọn giống và tiến hoá.
Lời giải
|
Nội dung |
Đúng |
Sai |
|
a) Có thể có lợi, có hại hoặc trung tính. |
Đ |
|
|
b) Làm biến đổi cấu trúc của gene liên quan tới một cặp hoặc một số cặp nucleotide. |
Đ |
|
|
c) Làm nguyên liệu của quá trình chọn giống và tiến hoá. |
Đ |
|
|
d) Có thể làm cho sinh vật ngày càng đa dạng, phong phú. |
Đ |
|
Câu 2
a) Là một dạng đột biến điểm.
b) Chỉ liên quan tới một bộ ba.
c) Làm thay đổi trình tự nucleotide của nhiều bộ ba.
Lời giải
|
Nội dung |
Đúng |
Sai |
|
a) Là một dạng đột biến điểm. |
Đ |
|
|
b) Chỉ liên quan tới một bộ ba. |
Đ |
|
|
c) Làm thay đổi trình tự nucleotide của nhiều bộ ba. |
|
S |
|
d) Dễ xảy ra hơn so với các dạng đột biến gene khác. |
Đ |
|
Hướng dẫn giải
- c sai vì đột biến thay thế một cặp nucleotide chỉ liên quan tới bộ ba có cặp nucleotide bị thay thế, không ảnh hưởng tới nhiều bộ ba.
Câu 3
a) Đoạn polypeptide do đoạn gene nói trên quy định có 5 loại amino acid.
b) Gene phiên mã 2 lần, mỗi mRNA có 2 ribosome dịch mã thì sẽ có 8 amino acid Gly được sử dụng để dịch mã.
c) Gene phiên mã 1 lần, mỗi mRNA có 5 ribosome dịch mã thì số amino acid Gly tham gia dịch mã gấp đôi số amino acid Arg.
Lời giải
|
Nội dung |
Đúng |
Sai |
|
a) Đoạn polypeptide do đoạn gene nói trên quy định có 5 loại amino acid. |
|
S |
|
b) Gene phiên mã 2 lần, mỗi mRNA có 2 ribosome dịch mã thì sẽ có 8 amino acid Gly được sử dụng để dịch mã. |
Đ |
|
|
c) Gene phiên mã 1 lần, mỗi mRNA có 5 ribosome dịch mã thì số amino acid Gly tham gia dịch mã gấp đôi số amino acid Arg. |
Đ |
|
|
d) Gene phiên mã 3 lần, mỗi mRNA có 2 ribosome dịch mã thì số amino acid Pro tham gia dịch mã nhiều hơn amino acid Thr là 6 amino acid. |
Đ |
|
Hướng dẫn giải
- a sai vì khi gene phiên mã rồi dịch mã thì đoạn polypeptide tương ứng có 4 loại amino acid.
- b đúng vì khi gene phiên mã 2 lần, mỗi mRNA có 2 ribosome dịch mã thì sẽ có 2×2×2 = 8 amino acid gly tham gia dịch mã.
- c đúng vì trên chuỗi polypeptide tương ứng số amino acid Gly gấp đôi số amino acid Arg.
- d đúng vì khi gene phiên mã 3 lần, mỗi mRNA có 2 ribosome dịch mã thì số amino acid pro tham gia dịch mã nhiều hơn amino acid Thr là: (2-1)×3×2 = 6 amino acid.Câu 4
a) Nếu đột biến thay thế 1 cặp nucleotide ở vị trí giữa gene thì có thể làm thay đổi toàn bộ các bộ ba từ vị trí xảy ra đột biến cho đến cuối gene.
b) Chuỗi polypeptide do allele a và chuỗi polypeptide do allele A quy định có thể có trình tự amino acid giống nhau.
c) Nếu đột biến mất 1 cặp nucleotide thì allele a và allele A có chiều dài bằng nhau.
Lời giải
|
Nội dung |
Đúng |
Sai |
|
a) Nếu đột biến thay thế 1 cặp nucleotide ở vị trí giữa gene thì có thể làm thay đổi toàn bộ các bộ ba từ vị trí xảy ra đột biến cho đến cuối gene. |
|
S |
|
b) Chuỗi polypeptide do allele a và chuỗi polypeptide do allele A quy định có thể có trình tự amino acid giống nhau. |
Đ |
|
|
c) Nếu đột biến mất 1 cặp nucleotide thì allele a và allele A có chiều dài bằng nhau. |
Đ |
|
|
d) Allele a và allele A có số lượng nucleotide bằng nhau. |
Đ |
|
Hướng dẫn giải
- a sai vì nếu xảy ra đột biến thay thế 1 cặp nucleotide thì chỉ thay đổi bộ ba mang nucleotide bị đột biến.
- b đúng vì nếu đột biến làm thay thế codon này bằng codon khác cùng mã hóa 1 amino acid thì trình tự amino acid có thể không đổi.
- c sai vì nếu mất 1 cặp nucleotide thì La = LA – 3,4 (1 nucleotide dài 3,4 )
- d sai vì nếu đột biến thêm hoặc mất 1 cặp nucleotide thì số lượng nucleotide sẽ thay đổi.Câu 5
a) Nếu allele ban đầu nhân đôi 1 lần cần môi trường cung cấp 300A thì allele đột biến nhân đôi 1 lần cần môi trường cung cấp 301T.
b) Nếu allele ban đầu dài 255 nm thì allele đột biến cũng dài 255 nm.
c) Nếu allele ban đầu phiên mã 1 lần cần cung cấp 150X thì allele đột biến phiên mã 1 lần sẽ cần môi trường cung cấp 149X.
Lời giải
|
Nội dung |
Đúng |
Sai |
|
a) Nếu allele ban đầu nhân đôi 1 lần cần môi trường cung cấp 300A thì allele đột biến nhân đôi 1 lần cần môi trường cung cấp 301T. |
Đ |
|
|
b) Nếu allele ban đầu dài 255 nm thì allele đột biến cũng dài 255 nm. |
Đ |
|
|
c) Nếu allele ban đầu phiên mã 1 lần cần cung cấp 150X thì allele đột biến phiên mã 1 lần sẽ cần môi trường cung cấp 149X. |
Đ |
|
|
d) Nếu allele ban đầu có 1300 liên kết hydrogen thì allele đột biến sẽ có 1301 liên kết hydrogen. |
|
S |
Hướng dẫn giải
- a đúng vì vì đột biến thay thế cặp G-C bằng cặp A-T cho nên tăng 1 cặp nucleotide loại A-T.
- b đúng vì đây là đột biến thay thế nên chiều dài không thay đổi.
- c đúng vì đột biến làm cho C của RNA được thay bằng U của RNA cho nên khi allele đột biến phiên mã thì nhu cầu về C sẽ giảm đi 1C. Do đó, allele ban đầu phiên mã 1 lần cần môi trường cung cấp 150C thì allele đột biến phiên mã 1 lần cần môi trường cung cấp 149C.
- d sai vì đột biến thay thế cặp G-C bằng cặp A-T cho nên allele đột biến sẽ giảm 1 liên kết hydrogen. Do đó, gene ban đầu có 1300 liên kết hydrogen thì allele đột biến sẽ có 1299 liên kết hydrogen.
Câu 6
a) Xét ở mức độ phân tử, phần nhiều đột biến điểm thường vô hại (trung tính).
b) Đột biến gene làm xuất hiện các allele khác nhau cung cấp nguyên liệu sơ cấp cho tiến hóa.
c) Mức độ gây hại của allele đột biến phụ thuộc vào điều kiện môi trường cũng như phụ thuộc vào tổ hợp gene.
Lời giải
Bạn cần đăng ký gói VIP ( giá chỉ từ 199K ) để làm bài, xem đáp án và lời giải chi tiết không giới hạn.
Câu 7
a) Đột biến thay thế một cặp nucleotide có thể làm cho gene không được biểu hiện.
b) Đột biến làm giảm chiều dài của gene có thể làm tăng số amino acid của chuỗi polypeptide.
c) Đột biến thay thế cặp A - T bằng cặp G - C không thể làm cho bộ ba mã hóa amino acid trở thành bộ ba kết thúc.
Lời giải
Bạn cần đăng ký gói VIP ( giá chỉ từ 199K ) để làm bài, xem đáp án và lời giải chi tiết không giới hạn.
Câu 8
a) Có hai triplet mã hóa khi xày ra đột biến tại vị trí thứ ba làm xuất hiện codon kết thúc sớm.
b) Có một triplet mã hóa khi xảy ra đột biến tại vị trí thứ ba luôn làm thay đổi loại amino acid trong chuỗi polypeptide.
c) Có một triplet mã hóa khi xày ra đột biến tại vị trí thứ ba dẫn đến không làm xuất hiện codon mở đầu trên mRNA được tạo ra từ gene này.
Lời giải
Bạn cần đăng ký gói VIP ( giá chỉ từ 199K ) để làm bài, xem đáp án và lời giải chi tiết không giới hạn.
Câu 9
a) Có 2 trong số 4 loại allele đột biến đã xuất hiện mã kết thúc sớm.
b) Trật tự nu trên phân tử RNA được sao từ gene ban đầu là: 3'...AUG.AAG.UUU.GGC...5'.
c) Chuỗi polypeptide do allele đột biến 1 mã hóa sai khác 1 amino acid so với chuỗi polypeptide do gene ban đầu mã hóa.
Lời giải
Bạn cần đăng ký gói VIP ( giá chỉ từ 199K ) để làm bài, xem đáp án và lời giải chi tiết không giới hạn.
Câu 10
a) Trong quần thể, giả sử gene A có 5 allele và có tác nhân 5BU tác động vào quá trình nhân đôi gene A thì làm phát sinh allele mới.
b) Trong tế bào có 1 allele đột biến, trải qua quá trình phân bào thì allele đột biến luôn di truyền về tế bào con.
c) Đột biến thay thế một cặp nucleotide vẫn có thể làm tăng số amino acid của chuỗi polypeptide.
Lời giải
Bạn cần đăng ký gói VIP ( giá chỉ từ 199K ) để làm bài, xem đáp án và lời giải chi tiết không giới hạn.
Câu 11
Lời giải
Bạn cần đăng ký gói VIP ( giá chỉ từ 199K ) để làm bài, xem đáp án và lời giải chi tiết không giới hạn.
Câu 12
a) Nếu allele b phát sinh do đột biến xảy ra ngay sau mã mở đầu thì allele b có tất cả bộ ba kể từ vị trí xảy ra đột biến cho đến mã kết thúc đều thay đổi.
b) Nếu allele b phát sinh do đột biến xảy ra trong quá trình hình giảm phân thành giao tử thì allele b có thể được di truyền cho đời sau.
c) Nếu allele b phát sinh do đột biến thay thế 1 cặp G - C bằng 1 cặp A - T thì allele b có 169 nucleotide loại G.
Lời giải
Bạn cần đăng ký gói VIP ( giá chỉ từ 199K ) để làm bài, xem đáp án và lời giải chi tiết không giới hạn.
Câu 13
a) Mạch 2 là mạch làm khuôn để tổng hợp mRNA.
b) Nếu gene A bị đột biến thay thế 1 cặp nucleotide dẫn tới đoạn gene nói trên mã hóa nhiều hơn 5 amino acid thì đây có thể là đột biến thay thế cặp T - A bằng cặp C - G.
c) Nếu gene A bị đột biến thêm 1 cặp G – C vào giữa đoạn nói trên và tạo thành allele a thì chuỗi polypeptide do allele a mã hóa có thể sẽ có cấu trúc và chức năng bị thay đổi so với chuỗi polypeptide do gene A mã hóa.
Lời giải
Bạn cần đăng ký gói VIP ( giá chỉ từ 199K ) để làm bài, xem đáp án và lời giải chi tiết không giới hạn.
Câu 14
a) Allele A nhiều hơn 1 liên kết hydrogen so với allele A1.
b) Cả 3 allele đột biến chỉ làm thay đổi một amino acid trong chuỗi polypeptide tạo ra.
c) Chuỗi polypeptide tạo ra bị thay đổi từ ít đến nhiều theo thứ tự là A1 -> A3 -> A2.
Lời giải
Bạn cần đăng ký gói VIP ( giá chỉ từ 199K ) để làm bài, xem đáp án và lời giải chi tiết không giới hạn.
Câu 15
a) Đột biến là nguồn nguyên liệu sơ cấp của tiến hoá.
b) Phần lớn các đột biến tự nhiên có hại cho cơ thể sinh vật.
c) Chỉ có những đột biến có lợi mới trở thành nguyên liệu cho quá trình tiến hoá.
Lời giải
Bạn cần đăng ký gói VIP ( giá chỉ từ 199K ) để làm bài, xem đáp án và lời giải chi tiết không giới hạn.
Câu 16
a) Gene đột biến làm thay đổi một amino acid này bằng một amino acid khác nhưng không làm thay đổi chức năng của protein.
b) Gene bị đột biến dẫn đến protein được tổng hợp nhưng bị thay đổi chức năng.
c) Gene bị đột biến dẫn đến protein không được tổng hợp.
Lời giải
Bạn cần đăng ký gói VIP ( giá chỉ từ 199K ) để làm bài, xem đáp án và lời giải chi tiết không giới hạn.
Câu 17
a) Vị trí (c) tương ứng với đầu 5’ của mạch làm khuôn.
b) Nếu nucleotide ? trên hình là U thì sẽ phát sinh đột biến gene.
c) Nếu nucleotide ? trên hình là U thì phân tử mARN này khi làm khuôn để dịch mã sẽ tạo ra chuỗi polypeptide có 4 acid amin (không kể acid amin mở đầu).
Lời giải
Bạn cần đăng ký gói VIP ( giá chỉ từ 199K ) để làm bài, xem đáp án và lời giải chi tiết không giới hạn.
Câu 18
a) Đột biến dẫn đến nucleotide thứ hai của triplet mã hóa Gly ở allele B bị thay bằng G tạo ra triplet mã hóa Arg ở allele B2.
b) Các allele B1, B2, B3 đều là kết quả của đột biến dẫn đến thay thế nucleotitde thứ hai của triplet mã hóa Gly.
c) Đột biến dẫn đến nucleotitde thứ hai của triplet mã hóa Gly ở alen B bị thay bằng G tạo ra triplet mã hóa Ala ở alen B1.
Lời giải
Bạn cần đăng ký gói VIP ( giá chỉ từ 199K ) để làm bài, xem đáp án và lời giải chi tiết không giới hạn.
Câu 19
a) Nếu gen X nhân đôi 4 lần thì gen W cũng nhân đôi 4 lần.
b) Nếu xảy ra đột biến làm mất 1 cặp nuclêôtit tại vị trí số 1 thì sẽ làm thay đổi cấu trúc chuỗi polypeptit của 4 gen Y, Z, W, T.
c) Nếu trong môi trường có hóa chất 5-BU thì gen Z bị đột biến thay thế 1 cặp A-T thành 1 cặp G-C.
Lời giải
Bạn cần đăng ký gói VIP ( giá chỉ từ 199K ) để làm bài, xem đáp án và lời giải chi tiết không giới hạn.
Câu 20
a) Cặp nucleotide thứ 3, G – C bị thay thế thành C– G.
b) Cặp nucleotide thứ 5, A – T bị thay thế bằng T – A.
c) Cặp nucleotide thứ 3, G – C bị mất đi.
Lời giải
Bạn cần đăng ký gói VIP ( giá chỉ từ 199K ) để làm bài, xem đáp án và lời giải chi tiết không giới hạn.
Câu 21
a) Vùng mã hóa trên mạch gốc của gen trên có 81 triplet.
b) Đột biến thay thế cặp nuclêôtit bất kì ở bộ ba thứ 82 bằng một cặp nuclêôtit khác luôn làm biến đổi thành phần axit amin của chuỗi pôlipeptit do gen đột biến tổng hợp.
c) Đột biến thay thế một cặp nuclêôtit C - G bằng cặp A - T ở bộ ba thứ 4 có thể làm chuỗi pôlipeptit do gen đột biến tổng hợp giảm đi một axit amin so với chuỗi pôlipeptit bình thường.
Lời giải
Bạn cần đăng ký gói VIP ( giá chỉ từ 199K ) để làm bài, xem đáp án và lời giải chi tiết không giới hạn.
Câu 22
a) Thể đột biến A có thể là đột biến mất đoạn đoạn NST.
b) Thể đột biến B có thể là đột biến đảo đoạn NST.
c) Thể đột biến C có thể là đột biến tam bội.
Lời giải
Bạn cần đăng ký gói VIP ( giá chỉ từ 199K ) để làm bài, xem đáp án và lời giải chi tiết không giới hạn.
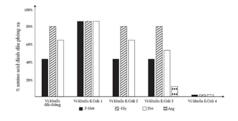
Câu 23
a) Chủng vi khuẩn E.Coli 1 xảy ra đột biến gene ở bộ ba mã kết thúc thay thế bằng amino acid khác dẫn đến kéo dài quá trình dịch mã.
b) Chủng vi khuẩn E.Coli 2 xảy ra đột biến gene đồng nghĩa.
c) Chủng vi khuẩn E.Coli 3 xảy ra đột biến gene thay thế amino acid proline bằng arginine.
Lời giải
Bạn cần đăng ký gói VIP ( giá chỉ từ 199K ) để làm bài, xem đáp án và lời giải chi tiết không giới hạn.
Câu 24
a) Tỷ lệ mắc ung thư ruột kết tăng dần theo tuổi, tăng chậm trong giai đoạn trước 40 tuổi và bắt đầu tăng rất nhanh kể từ 60 tuổi trở lên.
b) Tỷ lệ ung thư tăng tỉ lệ thuận với tuổi tác vì phải xuất hiện đủ đột biến ở một số gene quan trọng để vô hiệu hóa các cơ chế kiểm soát tốc độ tăng trưởng bình thường của tế bào.
c) Tỷ lệ mắc u xương ác tính cho kết quả giống như ung thư ruột kết.
Lời giải
Bạn cần đăng ký gói VIP ( giá chỉ từ 199K ) để làm bài, xem đáp án và lời giải chi tiết không giới hạn.
Câu 25
a) Gene mr này sẽ mã hóa được 833 amino acid – tương ứng là 833 bộ bốn.
b) Đột biến mr – 1 có kiểu hình nhận biết chậm vì đột biến vô nghĩa ở codon 829 làm cho chuỗi polypeptide ngắn đi 3 amino acid ở đầu N nên sự ảnh hưởng của nó đến cấu hình protein, CN của nó không quá nghiêm trọng.
c) Đột biến mr – 3 có kiểu hình nhận biết chậm vì mất nu và làm thay đổi khung đọc.
Lời giải
Bạn cần đăng ký gói VIP ( giá chỉ từ 199K ) để làm bài, xem đáp án và lời giải chi tiết không giới hạn.
Câu 26
a) Có thể xác định chính xác đột biến mà các thể đột biến M1 – M5 mang.
b) M4 là thể trpR- hoặc trpO-.
c) M2 là thể trpolypeptide-.
Lời giải
Bạn cần đăng ký gói VIP ( giá chỉ từ 199K ) để làm bài, xem đáp án và lời giải chi tiết không giới hạn.
Câu 27
a) Đột biến đã xảy ra là đột biến mất một số cặp nucleotide.
b) Nguyên nhân làm cho chuỗi polypeptide của gene đột biến bị ngắn lại có thể là do đột biến làm xuất hiện bộ ba kết thúc sớm.
c) Để biết được nguyên nhân làm cho chuỗi polypeptide của gene đột biến bị ngắn lại có thể tiến hành thí nghiệm so sánh chiều dài mRNA trưởng thành của gene đột biến và gene bình thường.
Lời giải
Bạn cần đăng ký gói VIP ( giá chỉ từ 199K ) để làm bài, xem đáp án và lời giải chi tiết không giới hạn.
Câu 28
a) Có thể so sánh kích thước của các enzyme ở giếng bằng cách dựa vào khoảng cách của băng điện di so với giếng ban đầu.
b) Enzyme X ở giếng số 6 có kích thước nhỏ nhất, enzyme ở giếng 1 kích thước lớn nhất.
c) Đột biến tạo nên dạng 2 và 3 là đột biến vô nghĩa làm xuất hiện sớm bộ ba kết thúc.
Lời giải
Bạn cần đăng ký gói VIP ( giá chỉ từ 199K ) để làm bài, xem đáp án và lời giải chi tiết không giới hạn.
Câu 29
a) Số nucleotide loại A của gene M là 300.
b) Số nucleotide loại G của allele m là 1101.
c) Gene M có ít liên kết hydrogene hơn gene m.
Lời giải
Bạn cần đăng ký gói VIP ( giá chỉ từ 199K ) để làm bài, xem đáp án và lời giải chi tiết không giới hạn.
Câu 30
a) Đột biến thay thế cặp nucleotide G - C ở vị trí 88 bằng cặp nucleotide A - T tạo ra allele mới quy định tổng hợp chuỗi polypeptide ngắn hơn so với chuỗi polypeptide do gene M quy định tổng hợp.
b) Đột biến thay thế một cặp nucleotide ở vị trí 63 tạo ra allele mới quy định tổng hợp chuỗi polypeptide giống với chuỗi polypeptide do gene M quy định tổng hợp.
c) Đột biến mất một cặp nucleotide ở vị trí 64 tạo ra allele mới quy định tổng hợp chuỗi polypeptide có thành phần amino acid thay đổi từ amino acid thứ 2 đến amino acid thứ 21 so với chuỗi polypeptide do gene M quy định tổng hợp.
Lời giải
Bạn cần đăng ký gói VIP ( giá chỉ từ 199K ) để làm bài, xem đáp án và lời giải chi tiết không giới hạn.






