200+ câu trắc nghiệm Giải tích 1 có đáp án - Phần 5
27 người thi tuần này 4.6 3.4 K lượt thi 21 câu hỏi 45 phút
Bạn cần đăng ký gói VIP ( giá chỉ từ 199K ) để làm bài, xem đáp án và lời giải chi tiết không giới hạn.
🔥 Học sinh cũng đã học
1000+ câu trắc nghiệm Marketing và Thị trường dược phẩm có đáp án - phần 9
1000+ câu trắc nghiệm Marketing và Thị trường dược phẩm có đáp án - phần 8
1000+ câu trắc nghiệm Marketing và Thị trường dược phẩm có đáp án - phần 8
1000+ câu trắc nghiệm Marketing và Thị trường dược phẩm có đáp án - phần 7
1000+ câu trắc nghiệm Marketing và Thị trường dược phẩm có đáp án - phần 6
1000+ câu trắc nghiệm Marketing và Thị trường dược phẩm có đáp án - phần 5
1000+ câu trắc nghiệm Marketing và Thị trường dược phẩm có đáp án - phần 4
1000+ câu trắc nghiệm Marketing và Thị trường dược phẩm có đáp án - phần 3
Danh sách câu hỏi:
Lời giải
Chọn đáp án A
Lời giải
Chọn đáp án D
Lời giải
Chọn đáp án C
Câu 4
A. Q = 50
B. Q = 49
C. Q = 52
D. cả A, B, C đều sai
Lời giải
Chọn đáp án C
Lời giải
Chọn đáp án C
Câu 6
A. a = 1; b = 0
B. a = 1; b = 1
C. a = 0; b = 1
D. a = - 1; b = 0
Lời giải
Bạn cần đăng ký gói VIP ( giá chỉ từ 199K ) để làm bài, xem đáp án và lời giải chi tiết không giới hạn.
Lời giải
Bạn cần đăng ký gói VIP ( giá chỉ từ 199K ) để làm bài, xem đáp án và lời giải chi tiết không giới hạn.
Lời giải
Bạn cần đăng ký gói VIP ( giá chỉ từ 199K ) để làm bài, xem đáp án và lời giải chi tiết không giới hạn.
Lời giải
Bạn cần đăng ký gói VIP ( giá chỉ từ 199K ) để làm bài, xem đáp án và lời giải chi tiết không giới hạn.
Lời giải
Bạn cần đăng ký gói VIP ( giá chỉ từ 199K ) để làm bài, xem đáp án và lời giải chi tiết không giới hạn.
Lời giải
Bạn cần đăng ký gói VIP ( giá chỉ từ 199K ) để làm bài, xem đáp án và lời giải chi tiết không giới hạn.
Lời giải
Bạn cần đăng ký gói VIP ( giá chỉ từ 199K ) để làm bài, xem đáp án và lời giải chi tiết không giới hạn.
Lời giải
Bạn cần đăng ký gói VIP ( giá chỉ từ 199K ) để làm bài, xem đáp án và lời giải chi tiết không giới hạn.
Lời giải
Bạn cần đăng ký gói VIP ( giá chỉ từ 199K ) để làm bài, xem đáp án và lời giải chi tiết không giới hạn.
Lời giải
Bạn cần đăng ký gói VIP ( giá chỉ từ 199K ) để làm bài, xem đáp án và lời giải chi tiết không giới hạn.
Lời giải
Bạn cần đăng ký gói VIP ( giá chỉ từ 199K ) để làm bài, xem đáp án và lời giải chi tiết không giới hạn.
Lời giải
Bạn cần đăng ký gói VIP ( giá chỉ từ 199K ) để làm bài, xem đáp án và lời giải chi tiết không giới hạn.
Lời giải
Bạn cần đăng ký gói VIP ( giá chỉ từ 199K ) để làm bài, xem đáp án và lời giải chi tiết không giới hạn.
Lời giải
Bạn cần đăng ký gói VIP ( giá chỉ từ 199K ) để làm bài, xem đáp án và lời giải chi tiết không giới hạn.
Câu 20
A. 𝑡 = 1000.
B. 𝑡 = 1750.
C. 𝑡 = 375.
D. 𝑡 = 500.
Lời giải
Bạn cần đăng ký gói VIP ( giá chỉ từ 199K ) để làm bài, xem đáp án và lời giải chi tiết không giới hạn.
Lời giải
Bạn cần đăng ký gói VIP ( giá chỉ từ 199K ) để làm bài, xem đáp án và lời giải chi tiết không giới hạn.








là đơn giá và hàm tổng chi phí là
(Q là sản lượng). Xác định mức sản lượng Q để xí nghiệp đạt lợi nhuận tối đa?
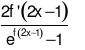
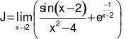
của hàm số
?



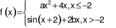
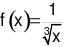
có đạo hàm trên toàn trục số?
đến x3?



có:



, tính y’:



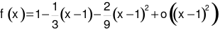
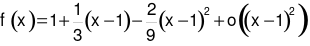
đến bậc 2 tại x0 = 1 với phần dư Peano.






trong lân cận của x0 = 1 với sai số nhỏ nhất?



. Khi đó, tổng S = x + b bằng:








. Tính y’



bằng:





. Tính y’’?


