Đề thi Đánh giá năng lực ĐHQG Hà Nội form 2025 có đáp án (Đề 41)
72 người thi tuần này 4.6 263 lượt thi 235 câu hỏi
Bạn cần đăng ký gói VIP ( giá chỉ từ 250K ) để làm bài, xem đáp án và lời giải chi tiết không giới hạn.
🔥 Học sinh cũng đã học
Đề thi Đánh giá năng lực ĐHQG Hà Nội form 2026 có đáp án (Đề số 1)
Đề thi Đánh giá năng lực ĐHQG Hà Nội form 2026 có đáp án (Đề số 16)
Đề thi Đánh giá năng lực ĐHQG Hà Nội form 2026 có đáp án (Đề số 15)
Đề thi Đánh giá năng lực ĐHQG Hà Nội form 2026 có đáp án (Đề số 4)
Đề thi Đánh giá năng lực ĐHQG Hà Nội form 2026 có đáp án (Đề số 14)
Đề thi Đánh giá năng lực ĐHQG Hà Nội form 2026 có đáp án (Đề số 13)
Đề thi Đánh giá năng lực ĐHQG Hà Nội form 2026 có đáp án (Đề số 12)
Đề thi Đánh giá năng lực ĐHQG Hà Nội form 2026 có đáp án (Đề số 11)
Danh sách câu hỏi:
Câu 1/235
D. \(\left[ {0;4} \right)\).
Lời giải
Đáp án đúng là D
Phương pháp giải
Lời giải
TH 1: \(m = 0:f\left( x \right) = 4 > 0,\forall x \in \mathbb{R}\) (đúng) \( \Rightarrow m = 0\) thỏa mãn.
TH 2: Yêu cầu bài toán \( \Leftrightarrow \left\{ {\begin{array}{*{20}{l}}{a > 0}\\{{\rm{\Delta '}} < 0}\end{array} \Leftrightarrow \left\{ {\begin{array}{*{20}{l}}{m > 0}\\{{m^2} - 4m < 0}\end{array} \Leftrightarrow m \in \left( {0;4} \right)} \right.} \right.\).
Vậy \(m \in \left[ {0;4} \right)\).
\( \Rightarrow \) Chọn đáp án DLời giải
Đáp án:
Đáp án đúng là "2"
Phương pháp giải
Áp dụng định lý: \(\left. {\begin{array}{*{20}{l}}{\left( P \right) \bot \left( Q \right)}\\{\left( P \right) \cap \left( Q \right) = {\rm{\Delta }}}\\{d \in \left( P \right)}\\{d \bot {\rm{\Delta }}}\end{array}} \right\} \Rightarrow d \bot \left( Q \right)\)
Lời giải

Trong \(\left( {ABCD} \right)\), kẻ \(OP \bot AB\).
Do \(\left\{ {\begin{array}{*{20}{l}}{\left( {SAB} \right) \bot \left( {ABCD} \right)}\\{\left( {SAB} \right) \cap \left( {ABCD} \right) = AB \Rightarrow OP \bot \left( {SAB} \right) \Rightarrow d\left( {O;\left( {SAB} \right)} \right) = OP.}\\{AB \bot OP \subset \left( {ABCD} \right)}\end{array}} \right.\)
Từ \(\left\{ {\begin{array}{*{20}{l}}{AB = 2a}\\{BC = 2a\sqrt 2 }\\{OD = a\sqrt 3 }\end{array} \Rightarrow A{B^2} + A{D^2} = 4{a^2} + 8{a^2} = 12{a^2} = {{(2OD)}^2} = B{D^2}} \right.\)
\( \Rightarrow \Delta BAD\) vuông tại \(A\), trên \(\left( {ABCD} \right)\), ta có \(\left\{ {\begin{array}{*{20}{l}}{OP \bot AB}\\{AD \bot AB}\end{array} \Rightarrow OP//AD} \right.\).
Mà \(O\) là trung điểm của \(BD \Rightarrow OP = \frac{1}{2}AD = \frac{1}{2}.2a\sqrt 2 = a\sqrt 2 \Rightarrow d\left( {O,\left( {SAB} \right)} \right) = a\sqrt 2 \)
\( \Rightarrow \frac{d}{a} = \sqrt 2 \Rightarrow {\left( {\frac{d}{a}} \right)^2} = 2\)
Câu 3/235
Lời giải
Đáp án đúng là A
Phương pháp giải
Tồn tại Max hay Min của biểu thức \(P\) tức là tồn tại 2 giá trị lớn nhất hay nhỏ nhất mà ở đó ta luôn tìm được tối thiểu là 1 cặp số \(\left( {{x_0};{y_0}} \right)\) thỏa mãn.
Chuyển vế \(P\) và đưa về phương trình bậc hai ẩn \(x\).
Sử dụng điều kiện tồn tại nghiệm của phương trình bậc hai.
Tìm giá trị nhỏ nhất của \(P\)
Dấu của tam thức bậc hai
Lời giải
Tồn tại Max hay Min của biểu thức P tức là tồn tại 2 giá trị lớn nhất hay nhỏ nhất mà ở đó ta luôn tìm được tối thiểu là 1 cặp số \(\left( {{x_0};{y_0}} \right)\) thỏa mãn.
Ta có: \(P = {x^2} + 2{y^2} - 2xy + y \Leftrightarrow {x^2} + 2{y^2} - 2xy + y - P = 0\) và ta coi đây là một hàm số bậc hai ẩn \(x\).
\( \Rightarrow \) Để tồn tại nghiệm thì \({\rm{\Delta }} = 4{y^2} - 4\left( {2{y^2} + y - P} \right) \ge 0\) có nghiệm.
\( \Leftrightarrow - 4{y^2} - 4y + 4P \ge 0\) có nghiệm
\( \Leftrightarrow {{\rm{\Delta }}_y} = 16 - 4\left( { - 4} \right)\left( {4P} \right) = 16 + 64P \ge 0\)
\( \Leftrightarrow P \ge - \frac{1}{4}\)
\( \Rightarrow \left\{ {\begin{array}{*{20}{l}}{a = 1}\\{b = 4}\end{array}} \right.\)
\( \Rightarrow a + b = 5\).
Lời giải
Đáp án:
Đáp án đúng là "8"
Phương pháp giải
Gọi khoảng cách từ \(M\) đến \(\left( {OAB} \right),\left( {OBC} \right),\left( {OCA} \right)\) là \(x,y,z\). Tìm mối quan hệ của \(x,y,z\).
Tính thể tích khối gỗ theo \(x,y,z\).
Sử dụng bất đẳng thức Cosi để tìm thể tích lớn nhất của khối gỗ.
Lời giải
Gọi khoảng cách từ \(M\) đến \(\left( {OAB} \right),\left( {OBC} \right),\left( {OCA} \right)\) là \(x,y,z\).
Ta có: \({V_{O.ABC}} = {V_{M.OAB}} + {V_{M.OBC}} + {V_{M.OAC}}\)
\( \Leftrightarrow \frac{1}{6}.3.6.12 = \frac{1}{3}.x.\frac{1}{2}.3.6 + \frac{1}{3}.y.6.12 + \frac{1}{3}.z.3.12 \Leftrightarrow x + 4y + 2z = 12\).
Thể tích khối gỗ là \(V = xyz = \frac{1}{8}.x.4y.2z \le \frac{1}{8}{\left( {\frac{{x + 4y + 2z}}{3}} \right)^3} = \frac{1}{8}.\frac{{{{12}^3}}}{{27}} = 8\) (Theo bất đẳng thức Cosi).
Vậy thể tích khối gỗ đạt giá trị lớn nhất bằng \(8{\rm{\;c}}{{\rm{m}}^3}\) khi
\(x = 4y = 2z \Leftrightarrow x = 4cm,y = 1cm,z = 2cm\).
Lời giải
Đáp án đúng là A
Phương pháp giải
Gọi \(F,F'\) là các tiêu điểm của \(\left( E \right)\).
Với \(M \in \left( E \right) \Rightarrow MF + MF' = 2a\).
Lời giải
\(\frac{{{x^2}}}{{144}} + \frac{{{y^2}}}{{63}} = 1\) nên \(a = \sqrt {144} = 12;b = \sqrt {63} = 3\sqrt 7 \).
Gọi \(F,F'\) là các tiêu điểm của \(\left( E \right)\).
Khi đó \(MF + MF' = 2a = 2.12 = 24\)
Câu 6/235
Lời giải
Đáp án đúng là B
Phương pháp giải
Dựng đường thẳng \({\rm{d'}}\) qua A và vuông góc với d
Tìm giao điểm H của d' và d
Tìm tọa độ điểm \({\rm{A'}}\) dựa trên tính chất đối xứng: H là trung điểm của \({\rm{AA'}}\)
Lời giải
Đường thẳng d có vtpt \(\vec n\left( {1;2} \right)\)
Đường thẳng \({\rm{d'}}\) qua A và vuông góc với d là: \(2\left( {x - 2} \right) - y = 0 \Leftrightarrow 2x - y - 4 = 0\)
Giao điểm H của d và \({\rm{d'}}:\left\{ {\begin{array}{*{20}{l}}{2x - y - 4 = 0}\\{x + 2y - 3 = 0}\end{array} \Leftrightarrow \left\{ {\begin{array}{*{20}{l}}{x = \frac{{11}}{5}}\\{y = \frac{2}{5}}\end{array}} \right.} \right.\)
Do H là trung điểm của \({\rm{AA'}} \Rightarrow \left\{ {\begin{array}{*{20}{l}}{{x_{A'}} = 2.\frac{{11}}{5} - 2 = \frac{{12}}{5}}\\{{y_{A'}} = 2.\frac{2}{5} - 0 = \frac{4}{5}}\end{array}} \right.\)
\(S = 5.\frac{{12}}{5} + 10.\frac{4}{5} = 12 + 8 = 20\)
Câu 7/235
Lời giải
Đáp án đúng là A
Phương pháp giải
Ứng dụng vào bài toán tối ưu
Lời giải
Gọi \(x,y\) lần lượt số bánh chưng và bánh ống gói được \(\left( {x,y \in {\mathbb{N}^{\rm{*}}}} \right)\).
Số điểm thưởng đạt được là: \(5x + 7y\) (điểm)
Theo bài ra ta có hệ bất phương trình:
\(\left\{ {\begin{array}{*{20}{l}}{0,4x + 0,6y \le 10}\\{0,05x + 0,075y \le 2}\\{0,1x + 0,15y \le 5}\\{x \ge 0}\\{y \ge 0}\end{array} \Leftrightarrow \left\{ {\begin{array}{*{20}{l}}{2x + 3y \le 50}\\{2x + 3y \le 80}\\{2x + 3y \le 100}\\{x \ge 0}\\{y \ge 0}\end{array} \Leftrightarrow \left\{ {\begin{array}{*{20}{l}}{2x + 3y \le 50}\\{x \ge 0}\\{y \ge 0}\end{array}} \right.} \right.} \right.\)
Yêu cầu bài toán trở thành: Tìm \(\left( {x;y} \right)\) thỏa mãn \(\left( I \right)\) để \(F\left( {x;y} \right) = 5x + 7y\) đạt giá trị lớn nhất.

+) Miền nghiệm của \(\left( I \right)\) là tam giác \(OAB\) (kể cả biên)
+) \(A\left( {0;\frac{{50}}{3}} \right),B\left( {25;0} \right),O\left( {0;0} \right)\)
+) \(F\left( {x;y} \right) = 5x + 7y\)
\(F\left( A \right) = \frac{{350}}{3};F\left( B \right) = 125;F\left( O \right) = 0\)
\( \Rightarrow {\rm{max}}F\left( {x;y} \right) = F\left( B \right) = 125 \Leftrightarrow x = 25;y = 0\)
Vậy cần phải gói 25 cái bánh chưng để nhận được số điểm thưởng lớn nhất.
Lời giải
Đáp án đúng là B
Phương pháp giải
Sử dụng hằng đẳng thức
Lời giải
Ta có \({a_n} = - {(n - 2)^2} + 15 \le 15,\forall n \ge 1\). Dấu bằng xảy ra khi \(n - 2 = 0 \Leftrightarrow n = 2\).
Vậy số hạng lớn nhất của dãy số là số hạng bằng 15.Câu 9/235
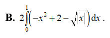
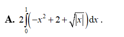
Lời giải
Bạn cần đăng ký gói VIP ( giá chỉ từ 250K ) để làm bài, xem đáp án và lời giải chi tiết không giới hạn.
Lời giải
Bạn cần đăng ký gói VIP ( giá chỉ từ 250K ) để làm bài, xem đáp án và lời giải chi tiết không giới hạn.
Câu 11/235
Lời giải
Bạn cần đăng ký gói VIP ( giá chỉ từ 250K ) để làm bài, xem đáp án và lời giải chi tiết không giới hạn.
Lời giải
Bạn cần đăng ký gói VIP ( giá chỉ từ 250K ) để làm bài, xem đáp án và lời giải chi tiết không giới hạn.
Lời giải
Bạn cần đăng ký gói VIP ( giá chỉ từ 250K ) để làm bài, xem đáp án và lời giải chi tiết không giới hạn.
Lời giải
Bạn cần đăng ký gói VIP ( giá chỉ từ 250K ) để làm bài, xem đáp án và lời giải chi tiết không giới hạn.
Lời giải
Bạn cần đăng ký gói VIP ( giá chỉ từ 250K ) để làm bài, xem đáp án và lời giải chi tiết không giới hạn.
Câu 16/235
Lời giải
Bạn cần đăng ký gói VIP ( giá chỉ từ 250K ) để làm bài, xem đáp án và lời giải chi tiết không giới hạn.
Lời giải
Bạn cần đăng ký gói VIP ( giá chỉ từ 250K ) để làm bài, xem đáp án và lời giải chi tiết không giới hạn.
Câu 18/235
Lời giải
Bạn cần đăng ký gói VIP ( giá chỉ từ 250K ) để làm bài, xem đáp án và lời giải chi tiết không giới hạn.
Câu 19/235
Lời giải
Bạn cần đăng ký gói VIP ( giá chỉ từ 250K ) để làm bài, xem đáp án và lời giải chi tiết không giới hạn.
Câu 20/235
Lời giải
Bạn cần đăng ký gói VIP ( giá chỉ từ 250K ) để làm bài, xem đáp án và lời giải chi tiết không giới hạn.
Xem tiếp với tài khoản VIP
Còn 227/235 câu hỏi, đáp án và lời giải chi tiết.
Bạn cần đăng ký gói VIP ( giá chỉ từ 250K ) để làm bài, xem đáp án và lời giải chi tiết không giới hạn.


