Đề thi Đánh giá năng lực ĐHQG Hà Nội phần Hóa (có đáp án) - Đề 29
80 người thi tuần này 4.6 80 lượt thi 17 câu hỏi
Bạn cần đăng ký gói VIP ( giá chỉ từ 250K ) để làm bài, xem đáp án và lời giải chi tiết không giới hạn.
🔥 Học sinh cũng đã học
Đề thi Đánh giá năng lực ĐHQG Hà Nội form 2026 có đáp án (Đề số 1)
Đề thi Đánh giá năng lực ĐHQG Hà Nội form 2026 có đáp án (Đề số 16)
Đề thi Đánh giá năng lực ĐHQG Hà Nội form 2026 có đáp án (Đề số 15)
Đề thi Đánh giá năng lực ĐHQG Hà Nội form 2026 có đáp án (Đề số 4)
Đề thi Đánh giá năng lực ĐHQG Hà Nội form 2026 có đáp án (Đề số 14)
Đề thi Đánh giá năng lực ĐHQG Hà Nội form 2026 có đáp án (Đề số 13)
Đề thi Đánh giá năng lực ĐHQG Hà Nội form 2026 có đáp án (Đề số 12)
Đề thi Đánh giá năng lực ĐHQG Hà Nội form 2026 có đáp án (Đề số 11)
Danh sách câu hỏi:
Câu 1/17
O-cresol tác dụng được với Na.
Công thức phân tử của o-cresol là
O-cresol tác dụng NaOH theo tỉ lệ mol 1 : 2.
Trong phân tử o-cresol có chứa 1 nhóm chức hydroxyl.
Lời giải
O-cresol là
- Phát biểu A đúng.
- Phát biểu B đúng. Công thức phân tử của o-cresol là
- Phát biểu C sai.
- Phát biểu D đúng.
Chọn C.
Lời giải
Các trường hợp có xảy ra ăn mòn điện hóa là: (a), (c) và (e).
Các trường hợp (b) và (d) chỉ xảy ra ăn mòn hóa học.
Chọn C.
Lời giải
Lại có tỉ lệ mol Fe3+ : Fe2+ = 1 : 4 ⇒ và
Chọn D.
Câu 4/17
50 gam.
34,33 gam.
48,91 gam.
22,5 gam.
Lời giải
Gọi khối lượng tách ra là x gam.
Bảo toàn khối lượng
Chọn C.
Lời giải
- Phát biểu (a) sai:
Công thức phân tử của rutin là quercetin là ⇒ Rhamnose là
Phản ứng:
- Phát biểu (b) sai.
⇒ m hoa hòe tấn.
- Phát biểu (c) sai. Phân tử quercetin có 4 nhóm -OH phenol.
- Phát biểu (d) đúng. Đốt 1 mol thu được 27 mol và 15 mol
- Phát biểu (e) đúng.
Chọn A.
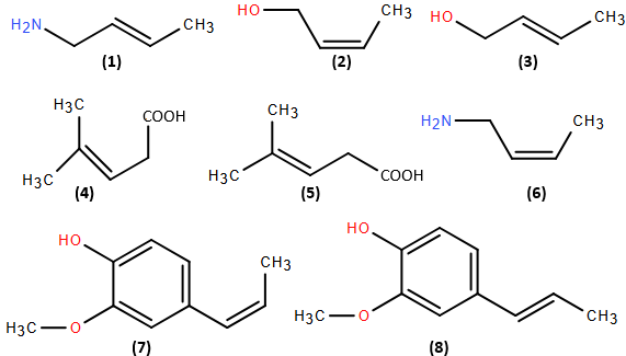
Câu 6/17
4.
6.
7.
8.
Lời giải
Có 6 chất có đồng phân hình học, gồm (1), (2), (3), (6), (7), (8).
Chọn B.
Lời giải
Bạn cần đăng ký gói VIP ( giá chỉ từ 250K ) để làm bài, xem đáp án và lời giải chi tiết không giới hạn.
Lời giải
Bạn cần đăng ký gói VIP ( giá chỉ từ 250K ) để làm bài, xem đáp án và lời giải chi tiết không giới hạn.
Lời giải
Bạn cần đăng ký gói VIP ( giá chỉ từ 250K ) để làm bài, xem đáp án và lời giải chi tiết không giới hạn.
Câu 10/17
Có 5 dung dịch: và cùng nồng độ được kí hiệu ngẫu nhiên là X, Y, Z, T, G. Giá trị pH và khả năng dẫn điện của các dung dịch trên được cho trong bảng sau:
| Dung dịch | X | Y | Z | T | G |
| pH | 5,25 | 11,53 | 3,01 | 1,25 | 11,00 |
| Khả năng dẫn điện | Tốt | Tốt | Kém | Tốt | Kém |
Biết: Khả năng dẫn điện của dung dịch tỉ lệ thuận với nồng độ ion trong dung dịch. Các dung dịch X, Y, Z, T, G lần lượt là
Lời giải
Bạn cần đăng ký gói VIP ( giá chỉ từ 250K ) để làm bài, xem đáp án và lời giải chi tiết không giới hạn.
Câu 11/17
Benzene-1,4-diamine thuộc loại arylamine.
Các monomer tạo nên vật liệu Kevlar đều là hợp chất hữu cơ đa chức.
Công thức cấu tạo của Kevlar là:

Kevlar được điều chế bằng phản ứng trùng hợp.
Lời giải
Bạn cần đăng ký gói VIP ( giá chỉ từ 250K ) để làm bài, xem đáp án và lời giải chi tiết không giới hạn.
Lời giải
Bạn cần đăng ký gói VIP ( giá chỉ từ 250K ) để làm bài, xem đáp án và lời giải chi tiết không giới hạn.
Câu 13/17
Cu, Fe, Al, Mg.
Cu, Fe, Al, MgO.
Lời giải
Bạn cần đăng ký gói VIP ( giá chỉ từ 250K ) để làm bài, xem đáp án và lời giải chi tiết không giới hạn.
Câu 14/17
Sn.
Pb.
Cu.
Zn.
Lời giải
Bạn cần đăng ký gói VIP ( giá chỉ từ 250K ) để làm bài, xem đáp án và lời giải chi tiết không giới hạn.
Đoạn văn 1
Dựa vào thông tin sau đây và trả lời các câu hỏi từ câu 15 - 17:
Nguyên tố M có trong máu người nồng độ bình thường là 3,5 – 5,0 mmol/l. Trong cơ thể, nguyên tố M giúp điều hòa cân bằng nước và điện giải, giúp duy trì hoạt động bình thường, đặc biệt là của hệ tim mạch, cơ bắp, tiêu hóa, tiết niệu. Trên cơ tim ion M+ làm giảm lực co bóp, giảm tính chịu kích thích và giảm dẫn truyền. Tổng số hạt proton, neutron và electron trong nguyên tử nguyên tố M là 58, trong đó số hạt mang điện nhiều hơn số hạt không mang điện là 18.
Nguyên tố X có trong thành phần của các chất có tác dụng oxi hoá và sát khuẩn cực mạnh, thường được sử dụng với mục đích khử trùng và tẩy trắng trong lĩnh vực thuỷ sản, dệt nhuộm, xử lí nước thải, nước bể bơi. Oxide cao nhất của X có công thức là Trong hợp chất khí của X và hydrogen, nguyên tố X chiếm 97,26% về khối lượng.
Lời giải
Bạn cần đăng ký gói VIP ( giá chỉ từ 250K ) để làm bài, xem đáp án và lời giải chi tiết không giới hạn.
Lời giải
Bạn cần đăng ký gói VIP ( giá chỉ từ 250K ) để làm bài, xem đáp án và lời giải chi tiết không giới hạn.
Câu 17/17
A. liên kết cộng hóa trị.
B. liên kết ion.
C. liên kết kim loại.
D. liên kết hydrogen.
Lời giải
Bạn cần đăng ký gói VIP ( giá chỉ từ 250K ) để làm bài, xem đáp án và lời giải chi tiết không giới hạn.
Xem tiếp với tài khoản VIP
Còn 11/17 câu hỏi, đáp án và lời giải chi tiết.
Bạn cần đăng ký gói VIP ( giá chỉ từ 250K ) để làm bài, xem đáp án và lời giải chi tiết không giới hạn.



